Çevre, Şehircilik ve İklim Değişikliği Bakanlığınca binlerce müteahhiti yakından ilgilendiren Müteahhitlik karneleri için 2026 katsayılar belli oldu. İlgili karar 3 Şubat tarihli Resmi Gazete'de yürürlüğe girdi.
YAPI, TESİS VE ONARIM İŞLERİ İHALELERİNDE KULLANILAN MÜTEAHHİTLİK KARNELERİ VE İŞ BİTİRME BELGELERİNİN 2026 YILINA AİT DEĞERLENDİRME KATSAYILARI HAKKINDA TEBLİĞ
Müteahhitlik karneleri
MADDE 1- (1) 28/3/1981 tarihli ve 17293 sayılı Resmî Gazete’de yayımlanan Yapı, Tesis ve Onarım İşleri İhalelerine Katılma Yönetmeliği uyarınca, ihalelere iştirak edecek olan müteahhitlerin, ellerinde bulunan ve geçerliliği sona ermemiş müteahhitlik karneleri, ilgili kuruluşlarca, aşağıda belirtildiği şekilde ve grubu aynı kalmak şartıyla aktarılarak kabul edilecektir.
Değerlendirme katsayıları

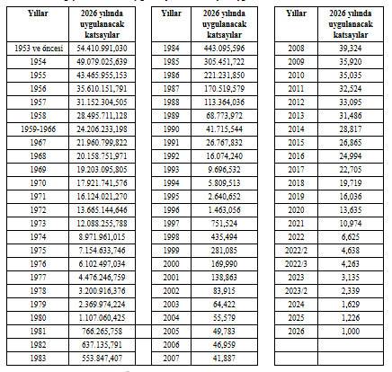
MADDE 2- (1) 1/1/2026 tarihinden itibaren, müteahhitlik karneleri ve iş bitirme belgeleri için geçerli katsayılar aşağıda belirtilmiştir:
a) 1/3/1981-28/2/1982 arasındaki tarihleri taşıyan (bu tarihler dâhil) ve geçerliliğini muhafaza eden müteahhitlik karneleri miktarı, grubu aynı kalmak şartıyla; 766.265,758 ile çarpılacaktır.
b) 1/3/1982-31/12/1982 arasındaki tarihleri taşıyan (bu tarihler dâhil) müteahhitlik karneleri miktarı, grubu aynı kalmak şartıyla 637.135,791 ile çarpılacaktır.
c) Kuruluşlarca iş bitirme belgelerinin ve müteahhitlik karnelerinin değerlendirilebilmesi için 1/1/2026 tarihinden itibaren geçerli olmak üzere aşağıda tespit olunan katsayılar uygulanacaktır:
Yürürlükten kaldırılan tebliğ
MADDE 3- (1) 31/1/2025 tarihli ve 32799 sayılı Resmî Gazete’de yayımlanan Yapı, Tesis ve Onarım İşleri İhalelerinde Kullanılan Müteahhitlik Karneleri ve İş Bitirme Belgelerinin 2025 Yılına Ait Değerlendirme Katsayıları Hakkında Tebliğ yürürlükten kaldırılmıştır.
Yürürlük
MADDE 4- (1) Bu Tebliğ 1/1/2026 tarihinden geçerli olmak üzere yayımı tarihinde yürürlüğe girer.
Yürütme
MADDE 5- (1) Bu Tebliğ hükümlerini Çevre, Şehircilik ve İklim Değişikliği Bakanı yürütür.
Yorumlar
Kalan Karakter: